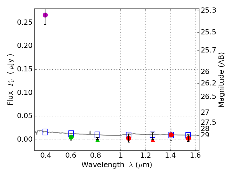
RXS0603+42-S IR detection object #6524

Color images and BPZ results
Catalog: 6524.cat
Black segments are analyzed here.   Roll mouse over color images to view segments.
Best viewed in a wide browser window (1200 pixels or more).   Download SED & P(z) plots to view larger versions.
In P(z) plots: Yellow lines mark the cluster redshift z = 0.228,  

Object #6524   x,y = (3574, 1393)   RA, Dec = (06:03:20.616, 42:08:49.92) = (90.83590, 42.14720)   BPZ = 1.699 [0.546--3.227]   type = 11.00 (SB11_A_0_l)   stellarity = 0.83   chisq2 = 39.28   ODDS = 0.23   z_cluster = 0.228