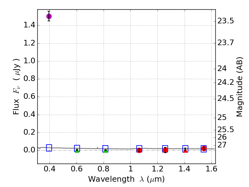
RXS0603+42-S IR detection object #6521

Color images and BPZ results
Catalog: 6521.cat
Black segments are analyzed here.   Roll mouse over color images to view segments.
Best viewed in a wide browser window (1200 pixels or more).   Download SED & P(z) plots to view larger versions.
In P(z) plots: Yellow lines mark the cluster redshift z = 0.228,  

Object #6521   x,y = (3571, 1342)   RA, Dec = (06:03:20.640, 42:08:46.68) = (90.83600, 42.14630)   BPZ = 1.700 [0.928--2.501]   type = 11.00 (SB11_A_0_l)   stellarity = 0.99   chisq2 = 200.20   ODDS = 0.26   z_cluster = 0.228