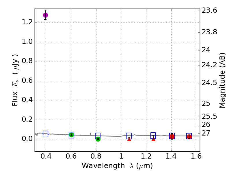
RXS0603+42-S IR detection object #6514

Color images and BPZ results
Catalog: 6514.cat
Black segments are analyzed here.   Roll mouse over color images to view segments.
Best viewed in a wide browser window (1200 pixels or more).   Download SED & P(z) plots to view larger versions.
In P(z) plots: Yellow lines mark the cluster redshift z = 0.228,  

Object #6514   x,y = (3583, 1352)   RA, Dec = (06:03:20.568, 42:08:47.40) = (90.83570, 42.14650)   BPZ = 1.698 [1.413--2.145]   type = 11.00 (SB11_A_0_l)   stellarity = 0.88   chisq2 = 168.30   ODDS = 0.49   z_cluster = 0.228