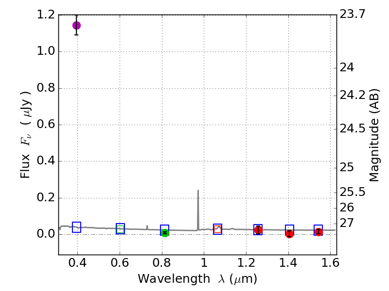
RXS0603+42-S IR detection object #6512

Color images and BPZ results
Catalog: 6512.cat
Black segments are analyzed here.   Roll mouse over color images to view segments.
Best viewed in a wide browser window (1200 pixels or more).   Download SED & P(z) plots to view larger versions.
In P(z) plots: Yellow lines mark the cluster redshift z = 0.228,  

Object #6512   x,y = (2144, 1354)   RA, Dec = (06:03:28.344, 42:08:47.40) = (90.86810, 42.14650)   BPZ = 1.612 [1.001--2.360]   type = 11.00 (SB11_A_0_l)   stellarity = 0.93   chisq2 = 218.10   ODDS = 0.33   z_cluster = 0.228