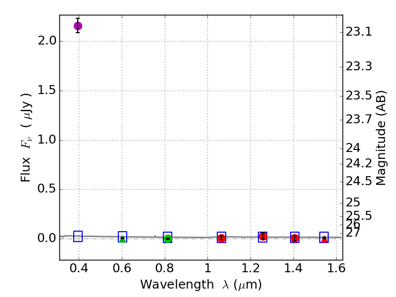
RXS0603+42-S IR detection object #6511

Color images and BPZ results
Catalog: 6511.cat
Black segments are analyzed here.   Roll mouse over color images to view segments.
Best viewed in a wide browser window (1200 pixels or more).   Download SED & P(z) plots to view larger versions.
In P(z) plots: Yellow lines mark the cluster redshift z = 0.228,  

Object #6511   x,y = (3524, 1346)   RA, Dec = (06:03:20.880, 42:08:47.04) = (90.83700, 42.14640)   BPZ = 1.698 [0.604--3.372]   type = 11.00 (SB11_A_0_l)   stellarity = 0.66   chisq2 = 232.30   ODDS = 0.25   z_cluster = 0.228