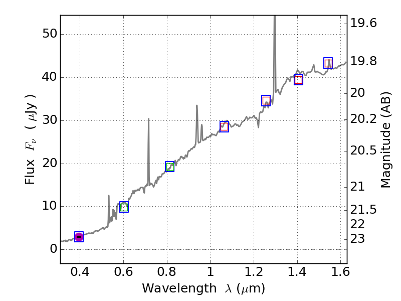
RXS0603+42-S IR detection object #651

Color images and BPZ results
Catalog: 651.cat
Black segments are analyzed here.   Roll mouse over color images to view segments.
Best viewed in a wide browser window (1200 pixels or more).   Download SED & P(z) plots to view larger versions.
In P(z) plots: Yellow lines mark the cluster redshift z = 0.228,  

Object #651   x,y = (1632, 4073)   RA, Dec = (06:03:31.104, 42:11:30.84) = (90.87960, 42.19190)   BPZ = 0.427 [0.051--0.865]   type = 6.60 (Scd_B10 - Sbc_B10)   stellarity = 1.00   chisq2 = 990.00   ODDS = 0.21   z_cluster = 0.228