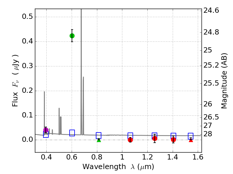
RXS0603+42-S IR detection object #6506

Color images and BPZ results
Catalog: 6506.cat
Black segments are analyzed here.   Roll mouse over color images to view segments.
Best viewed in a wide browser window (1200 pixels or more).   Download SED & P(z) plots to view larger versions.
In P(z) plots: Yellow lines mark the cluster redshift z = 0.228,  

Object #6506   x,y = (2311, 1356)   RA, Dec = (06:03:27.432, 42:08:47.76) = (90.86430, 42.14660)   BPZ = 0.027 [0.015--2.808]   type = 11.00 (SB11_A_0_l)   stellarity = 0.78   chisq2 = 67.78   ODDS = 0.25   z_cluster = 0.228