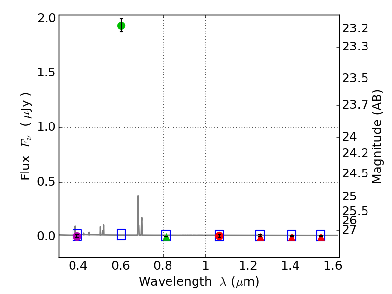
RXS0603+42-S IR detection object #6498

Color images and BPZ results
Catalog: 6498.cat
Black segments are analyzed here.   Roll mouse over color images to view segments.
Best viewed in a wide browser window (1200 pixels or more).   Download SED & P(z) plots to view larger versions.
In P(z) plots: Yellow lines mark the cluster redshift z = 0.228,  

Object #6498   x,y = (2298, 1360)   RA, Dec = (06:03:27.504, 42:08:47.76) = (90.86460, 42.14660)   BPZ = 0.038 [0.028--3.088]   type = 11.00 (SB11_A_0_l)   stellarity = 0.95   chisq2 = 255.20   ODDS = 0.09   z_cluster = 0.228