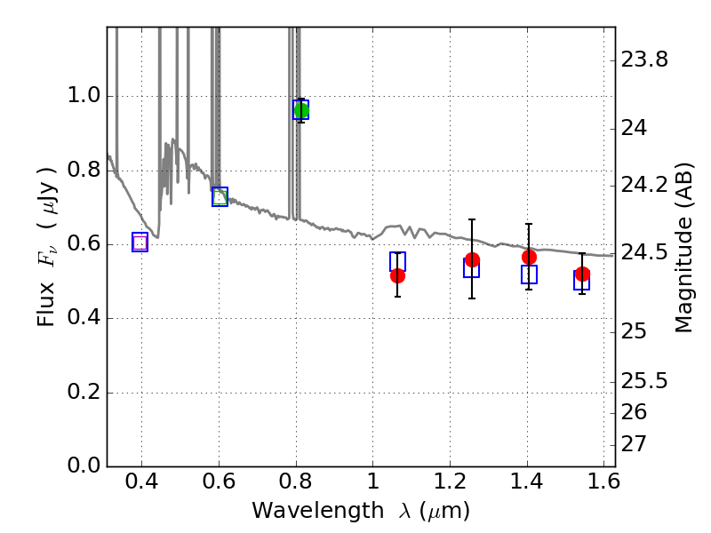
RXS0603+42-S IR detection object #6496

Color images and BPZ results
Catalog: 6496.cat
Black segments are analyzed here.   Roll mouse over color images to view segments.
Best viewed in a wide browser window (1200 pixels or more).   Download SED & P(z) plots to view larger versions.
In P(z) plots: Yellow lines mark the cluster redshift z = 0.228,  

Object #6496   x,y = (1671, 1353)   RA, Dec = (06:03:30.888, 42:08:47.40) = (90.87870, 42.14650)   BPZ = 0.199 [0.087--0.307]   type = 11.00 (SB11_A_0_l)   stellarity = 0.00   chisq2 = 0.23   ODDS = 0.53   z_cluster = 0.228