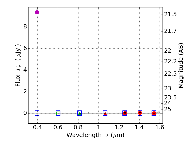
RXS0603+42-S IR detection object #6461

Color images and BPZ results
Catalog: 6461.cat
Black segments are analyzed here.   Roll mouse over color images to view segments.
Best viewed in a wide browser window (1200 pixels or more).   Download SED & P(z) plots to view larger versions.
In P(z) plots: Yellow lines mark the cluster redshift z = 0.228,  

Object #6461   x,y = (2046, 1383)   RA, Dec = (06:03:28.872, 42:08:49.20) = (90.87030, 42.14700)   BPZ = 1.416 [0.308--6.886]   type = 11.00 (SB11_A_0_l)   stellarity = 0.91   chisq2 = 383.20   ODDS = 0.09   z_cluster = 0.228