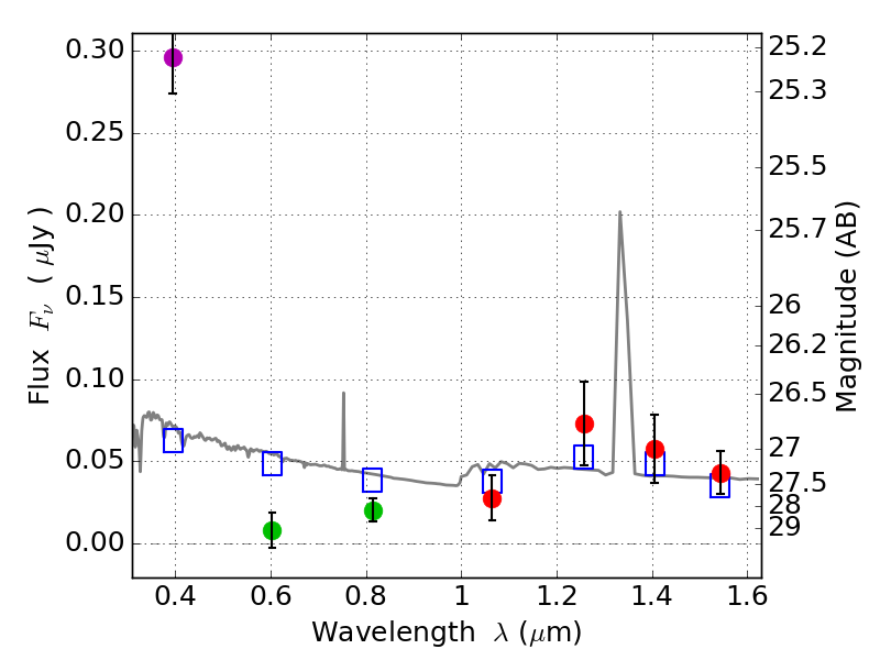
RXS0603+42-S IR detection object #6456

Color images and BPZ results
Catalog: 6456.cat
Black segments are analyzed here.   Roll mouse over color images to view segments.
Best viewed in a wide browser window (1200 pixels or more).   Download SED & P(z) plots to view larger versions.
In P(z) plots: Yellow lines mark the cluster redshift z = 0.228,  

Object #6456   x,y = (3460, 1377)   RA, Dec = (06:03:21.240, 42:08:48.84) = (90.83850, 42.14690)   BPZ = 1.692 [1.137--2.087]   type = 11.00 (SB11_A_0_l)   stellarity = 0.67   chisq2 = 30.32   ODDS = 0.46   z_cluster = 0.228