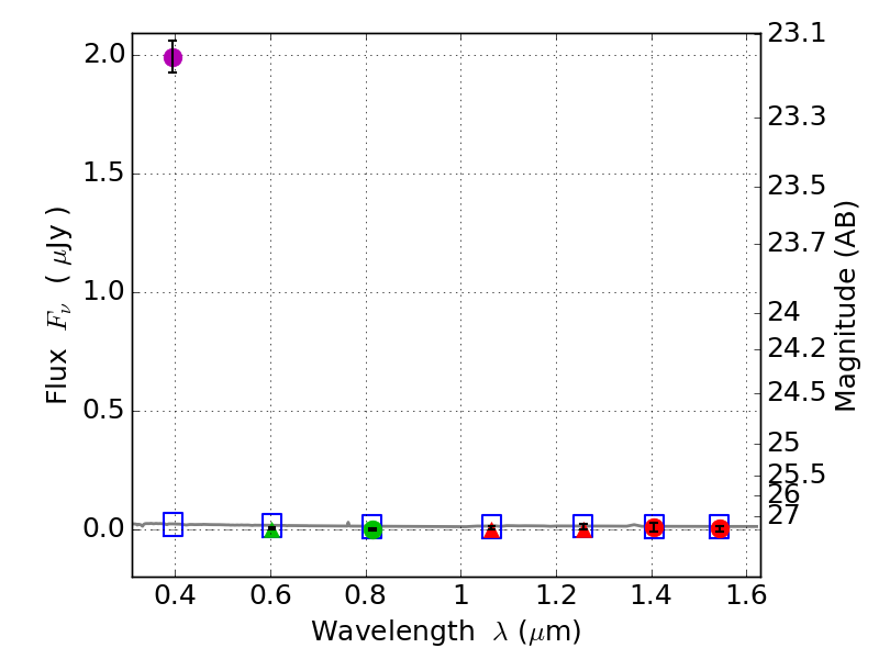
RXS0603+42-S IR detection object #6441

Color images and BPZ results
Catalog: 6441.cat
Black segments are analyzed here.   Roll mouse over color images to view segments.
Best viewed in a wide browser window (1200 pixels or more).   Download SED & P(z) plots to view larger versions.
In P(z) plots: Yellow lines mark the cluster redshift z = 0.228,  

Object #6441   x,y = (3588, 1392)   RA, Dec = (06:03:20.544, 42:08:49.92) = (90.83560, 42.14720)   BPZ = 1.730 [0.542--5.861]   type = 11.00 (SB11_A_0_l)   stellarity = 0.68   chisq2 = 224.40   ODDS = 0.20   z_cluster = 0.228