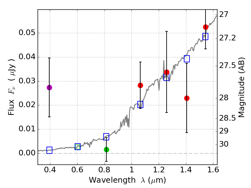
RXS0603+42-S IR detection object #6439

Color images and BPZ results
Catalog: 6439.cat
Black segments are analyzed here.   Roll mouse over color images to view segments.
Best viewed in a wide browser window (1200 pixels or more).   Download SED & P(z) plots to view larger versions.
In P(z) plots: Yellow lines mark the cluster redshift z = 0.228,  

Object #6439   x,y = (2177, 1393)   RA, Dec = (06:03:28.152, 42:08:49.92) = (90.86730, 42.14720)   BPZ = 1.471 [1.011--7.915]   type = 6.00 (Sbc_B10)   stellarity = 0.36   chisq2 = 2.36   ODDS = 0.13   z_cluster = 0.228