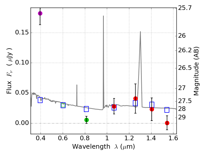
RXS0603+42-S IR detection object #6426

Color images and BPZ results
Catalog: 6426.cat
Black segments are analyzed here.   Roll mouse over color images to view segments.
Best viewed in a wide browser window (1200 pixels or more).   Download SED & P(z) plots to view larger versions.
In P(z) plots: Yellow lines mark the cluster redshift z = 0.228,  

Object #6426   x,y = (2034, 1399)   RA, Dec = (06:03:28.944, 42:08:50.28) = (90.87060, 42.14730)   BPZ = 1.602 [1.063--2.202]   type = 11.00 (SB11_A_0_l)   stellarity = 0.66   chisq2 = 22.15   ODDS = 0.40   z_cluster = 0.228