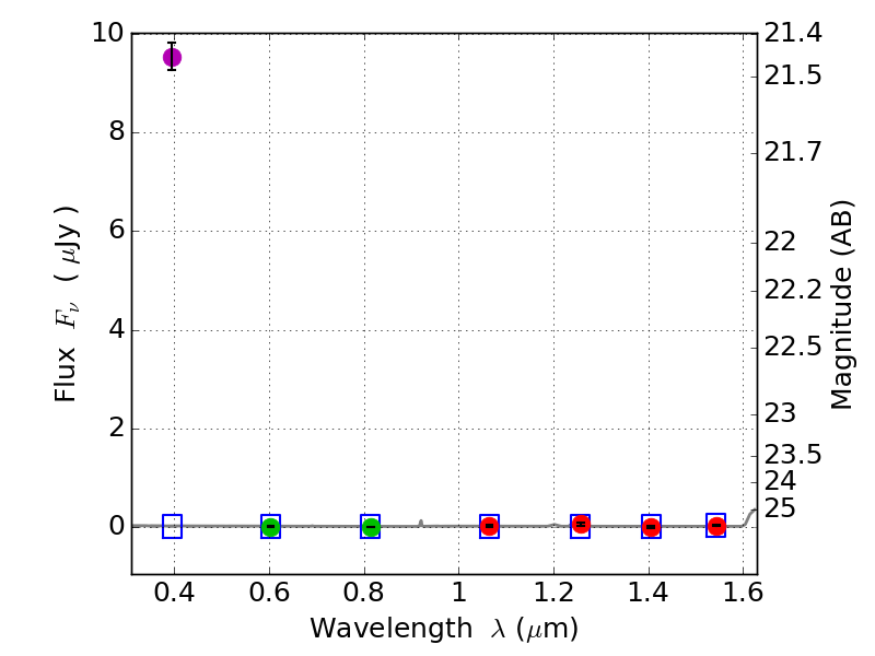
RXS0603+42-S IR detection object #6424

Color images and BPZ results
Catalog: 6424.cat
Black segments are analyzed here.   Roll mouse over color images to view segments.
Best viewed in a wide browser window (1200 pixels or more).   Download SED & P(z) plots to view larger versions.
In P(z) plots: Yellow lines mark the cluster redshift z = 0.228,  

Object #6424   x,y = (3567, 1398)   RA, Dec = (06:03:20.664, 42:08:50.28) = (90.83610, 42.14730)   BPZ = 1.470 [0.503--7.248]   type = 10.80 (SB11_A_0_l - SB3_B10)   stellarity = 1.00   chisq2 = 287.20   ODDS = 0.13   z_cluster = 0.228