RXS0603+42-S IR detection object #6412

Color images and BPZ results
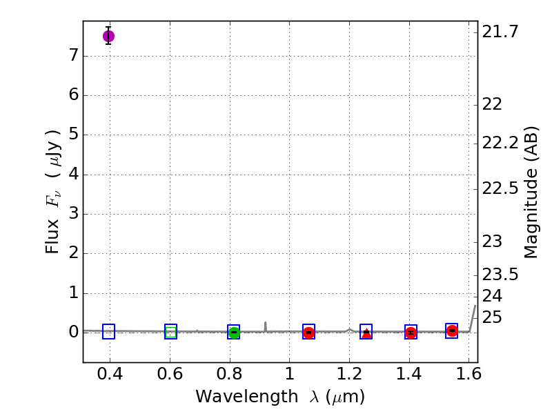
Catalog: 6412.cat
Black segments are analyzed here.   Roll mouse over color images to view segments.
Best viewed in a wide browser window (1200 pixels or more).   Download SED & P(z) plots to view larger versions.
In P(z) plots: Yellow lines mark the cluster redshift z = 0.228,  

Object #6412   x,y = (1942, 1402)   RA, Dec = (06:03:29.424, 42:08:50.28) = (90.87260, 42.14730)   BPZ = 1.469 [0.561--10.019]   type = 11.00 (SB11_A_0_l)   stellarity = 1.00   chisq2 = 368.70   ODDS = 0.13   z_cluster = 0.228