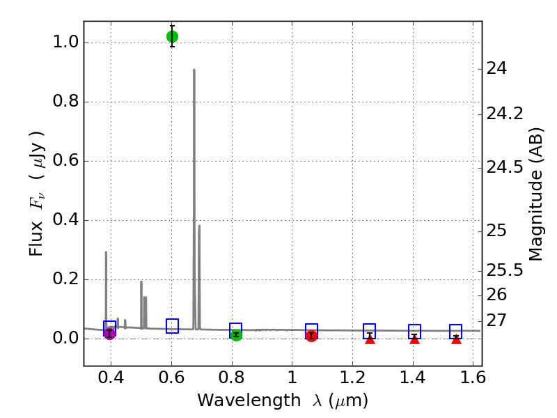
RXS0603+42-S IR detection object #6410

Color images and BPZ results
Catalog: 6410.cat
Black segments are analyzed here.   Roll mouse over color images to view segments.
Best viewed in a wide browser window (1200 pixels or more).   Download SED & P(z) plots to view larger versions.
In P(z) plots: Yellow lines mark the cluster redshift z = 0.228,  

Object #6410   x,y = (2255, 1407)   RA, Dec = (06:03:27.744, 42:08:50.64) = (90.86560, 42.14740)   BPZ = 0.026 [0.011--3.136]   type = 11.00 (SB11_A_0_l)   stellarity = 0.85   chisq2 = 196.70   ODDS = 0.75   z_cluster = 0.228