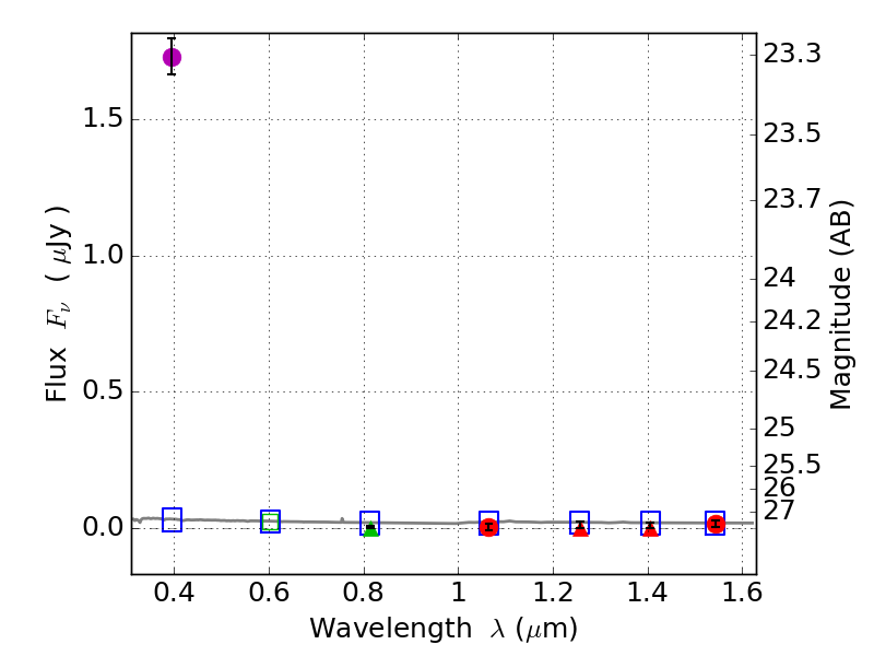
RXS0603+42-S IR detection object #6408

Color images and BPZ results
Catalog: 6408.cat
Black segments are analyzed here.   Roll mouse over color images to view segments.
Best viewed in a wide browser window (1200 pixels or more).   Download SED & P(z) plots to view larger versions.
In P(z) plots: Yellow lines mark the cluster redshift z = 0.228,  

Object #6408   x,y = (1962, 1407)   RA, Dec = (06:03:29.328, 42:08:50.64) = (90.87220, 42.14740)   BPZ = 1.700 [0.678--3.249]   type = 11.00 (SB11_A_0_l)   stellarity = 0.66   chisq2 = 235.90   ODDS = 0.23   z_cluster = 0.228