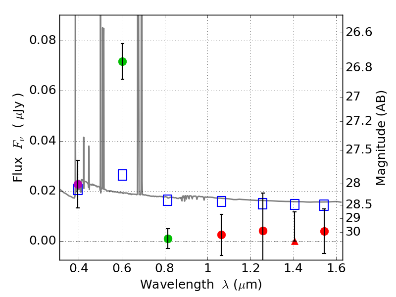
RXS0603+42-S IR detection object #6400

Color images and BPZ results
Catalog: 6400.cat
Black segments are analyzed here.   Roll mouse over color images to view segments.
Best viewed in a wide browser window (1200 pixels or more).   Download SED & P(z) plots to view larger versions.
In P(z) plots: Yellow lines mark the cluster redshift z = 0.228,  

Object #6400   x,y = (3162, 1414)   RA, Dec = (06:03:22.848, 42:08:51.00) = (90.84520, 42.14750)   BPZ = 0.026 [0.013--2.996]   type = 11.00 (SB11_A_0_l)   stellarity = 0.40   chisq2 = 14.13   ODDS = 0.31   z_cluster = 0.228