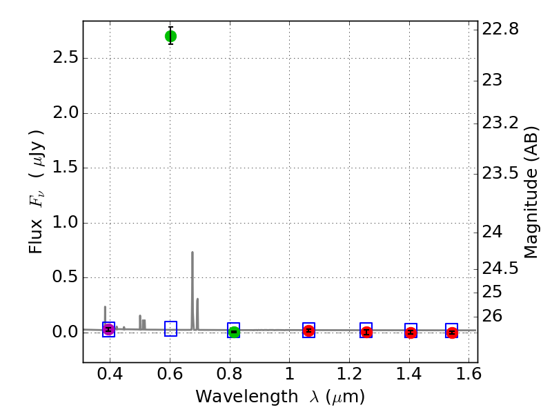
RXS0603+42-S IR detection object #6383

Color images and BPZ results
Catalog: 6383.cat
Black segments are analyzed here.   Roll mouse over color images to view segments.
Best viewed in a wide browser window (1200 pixels or more).   Download SED & P(z) plots to view larger versions.
In P(z) plots: Yellow lines mark the cluster redshift z = 0.228,  

Object #6383   x,y = (2197, 1418)   RA, Dec = (06:03:28.056, 42:08:51.36) = (90.86690, 42.14760)   BPZ = 0.033 [0.024--3.334]   type = 11.00 (SB11_A_0_l)   stellarity = 0.65   chisq2 = 272.90   ODDS = 0.10   z_cluster = 0.228