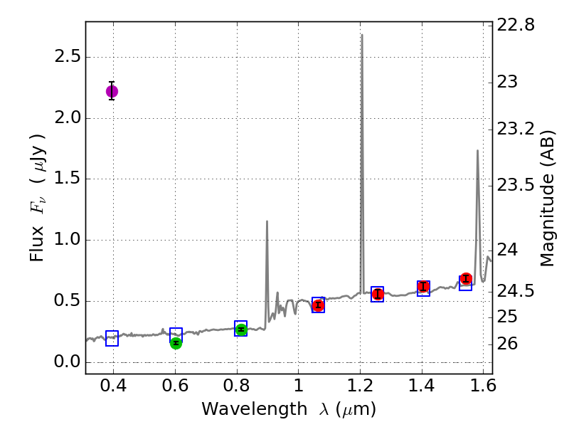
RXS0603+42-S IR detection object #6377

Color images and BPZ results
Catalog: 6377.cat
Black segments are analyzed here.   Roll mouse over color images to view segments.
Best viewed in a wide browser window (1200 pixels or more).   Download SED & P(z) plots to view larger versions.
In P(z) plots: Yellow lines mark the cluster redshift z = 0.228,  

Object #6377   x,y = (3556, 1427)   RA, Dec = (06:03:20.712, 42:08:52.08) = (90.83630, 42.14780)   BPZ = 1.414 [1.317--1.551]   type = 9.10 (SB2_B10 - SB3_B10)   stellarity = 0.99   chisq2 = 143.50   ODDS = 0.88   z_cluster = 0.228