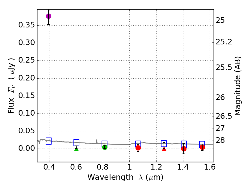
RXS0603+42-S IR detection object #6376

Color images and BPZ results
Catalog: 6376.cat
Black segments are analyzed here.   Roll mouse over color images to view segments.
Best viewed in a wide browser window (1200 pixels or more).   Download SED & P(z) plots to view larger versions.
In P(z) plots: Yellow lines mark the cluster redshift z = 0.228,  

Object #6376   x,y = (3610, 1427)   RA, Dec = (06:03:20.424, 42:08:52.08) = (90.83510, 42.14780)   BPZ = 1.700 [0.720--2.483]   type = 11.00 (SB11_A_0_l)   stellarity = 0.75   chisq2 = 57.73   ODDS = 0.30   z_cluster = 0.228