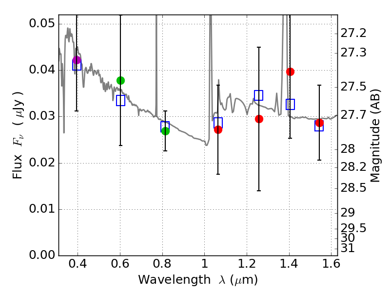
RXS0603+42-S IR detection object #6374

Color images and BPZ results
Catalog: 6374.cat
Black segments are analyzed here.   Roll mouse over color images to view segments.
Best viewed in a wide browser window (1200 pixels or more).   Download SED & P(z) plots to view larger versions.
In P(z) plots: Yellow lines mark the cluster redshift z = 0.228,  

Object #6374   x,y = (2228, 1430)   RA, Dec = (06:03:27.888, 42:08:52.08) = (90.86620, 42.14780)   BPZ = 1.760 [0.553--2.724]   type = 10.60 (SB11_A_0_l - SB3_B10)   stellarity = 0.35   chisq2 = 0.12   ODDS = 0.19   z_cluster = 0.228