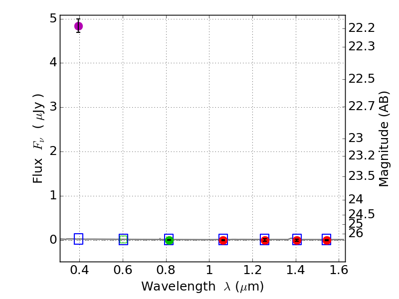
RXS0603+42-S IR detection object #6366

Color images and BPZ results
Catalog: 6366.cat
Black segments are analyzed here.   Roll mouse over color images to view segments.
Best viewed in a wide browser window (1200 pixels or more).   Download SED & P(z) plots to view larger versions.
In P(z) plots: Yellow lines mark the cluster redshift z = 0.228,  

Object #6366   x,y = (1864, 1430)   RA, Dec = (06:03:29.856, 42:08:52.08) = (90.87440, 42.14780)   BPZ = 1.763 [0.310--6.339]   type = 11.00 (SB11_A_0_l)   stellarity = 0.94   chisq2 = 339.90   ODDS = 0.12   z_cluster = 0.228