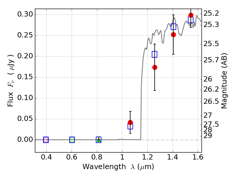
RXS0603+42-S IR detection object #6360

Color images and BPZ results
Catalog: 6360.cat
Black segments are analyzed here.   Roll mouse over color images to view segments.
Best viewed in a wide browser window (1200 pixels or more).   Download SED & P(z) plots to view larger versions.
In P(z) plots: Yellow lines mark the cluster redshift z = 0.228,  

Object #6360   x,y = (1668, 1383)   RA, Dec = (06:03:30.912, 42:08:49.20) = (90.87880, 42.14700)   BPZ = 8.453 [1.897--9.569]   type = 9.00 (SB2_B10)   stellarity = 0.85   chisq2 = 0.29   ODDS = 0.59   z_cluster = 0.228