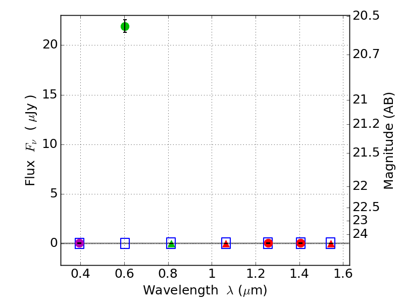
RXS0603+42-S IR detection object #6336

Color images and BPZ results
Catalog: 6336.cat
Black segments are analyzed here.   Roll mouse over color images to view segments.
Best viewed in a wide browser window (1200 pixels or more).   Download SED & P(z) plots to view larger versions.
In P(z) plots: Yellow lines mark the cluster redshift z = 0.228,  

Object #6336   x,y = (2076, 1447)   RA, Dec = (06:03:28.704, 42:08:53.16) = (90.86960, 42.14810)   BPZ = 0.359 [0.056--0.949]   type = 7.00 (Scd_B10)   stellarity = 0.92   chisq2 = 288.20   ODDS = 0.18   z_cluster = 0.228