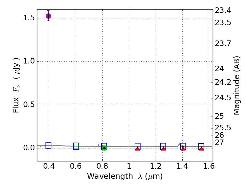
RXS0603+42-S IR detection object #6335

Color images and BPZ results
Catalog: 6335.cat
Black segments are analyzed here.   Roll mouse over color images to view segments.
Best viewed in a wide browser window (1200 pixels or more).   Download SED & P(z) plots to view larger versions.
In P(z) plots: Yellow lines mark the cluster redshift z = 0.228,  

Object #6335   x,y = (1772, 1475)   RA, Dec = (06:03:30.336, 42:08:54.96) = (90.87640, 42.14860)   BPZ = 1.763 [0.554--4.409]   type = 11.00 (SB11_A_0_l)   stellarity = 0.94   chisq2 = 217.90   ODDS = 0.25   z_cluster = 0.228