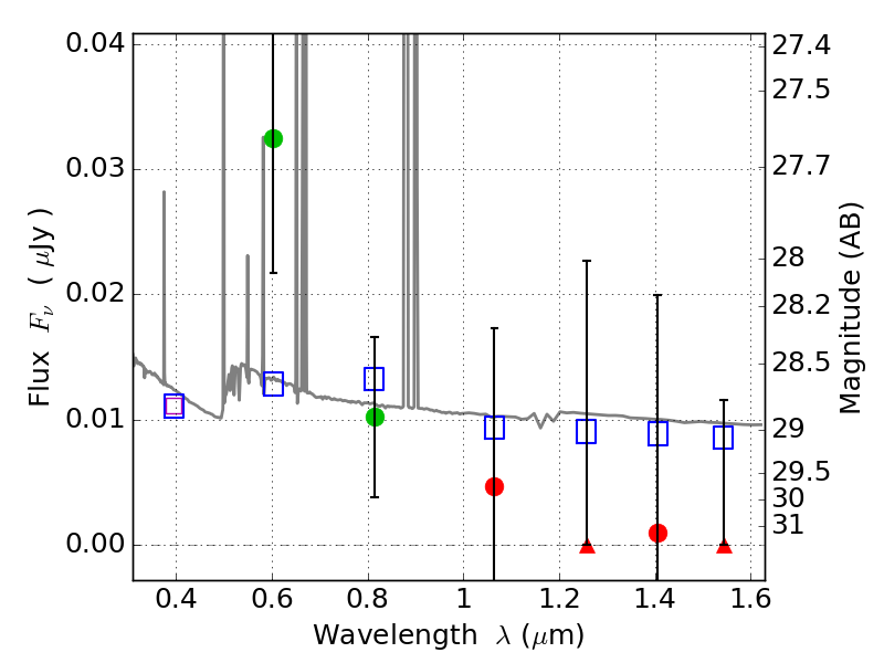
RXS0603+42-S IR detection object #6322

Color images and BPZ results
Catalog: 6322.cat
Black segments are analyzed here.   Roll mouse over color images to view segments.
Best viewed in a wide browser window (1200 pixels or more).   Download SED & P(z) plots to view larger versions.
In P(z) plots: Yellow lines mark the cluster redshift z = 0.228,  

Object #6322   x,y = (3626, 1458)   RA, Dec = (06:03:20.352, 42:08:53.88) = (90.83480, 42.14830)   BPZ = 0.341 [0.181--4.766]   type = 11.00 (SB11_A_0_l)   stellarity = 0.72   chisq2 = 1.50   ODDS = 0.04   z_cluster = 0.228