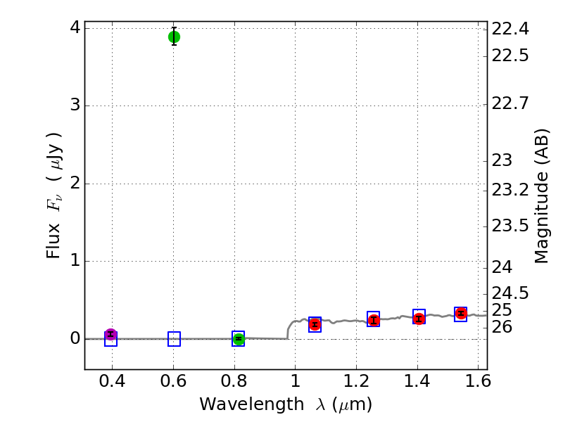
RXS0603+42-S IR detection object #6310

Color images and BPZ results
Catalog: 6310.cat
Black segments are analyzed here.   Roll mouse over color images to view segments.
Best viewed in a wide browser window (1200 pixels or more).   Download SED & P(z) plots to view larger versions.
In P(z) plots: Yellow lines mark the cluster redshift z = 0.228,  

Object #6310   x,y = (2107, 1455)   RA, Dec = (06:03:28.536, 42:08:53.52) = (90.86890, 42.14820)   BPZ = 7.030 [1.481--7.551]   type = 8.00 (SB1_B10)   stellarity = 0.84   chisq2 = 267.80   ODDS = 0.76   z_cluster = 0.228