RXS0603+42-S IR detection object #6309

Color images and BPZ results
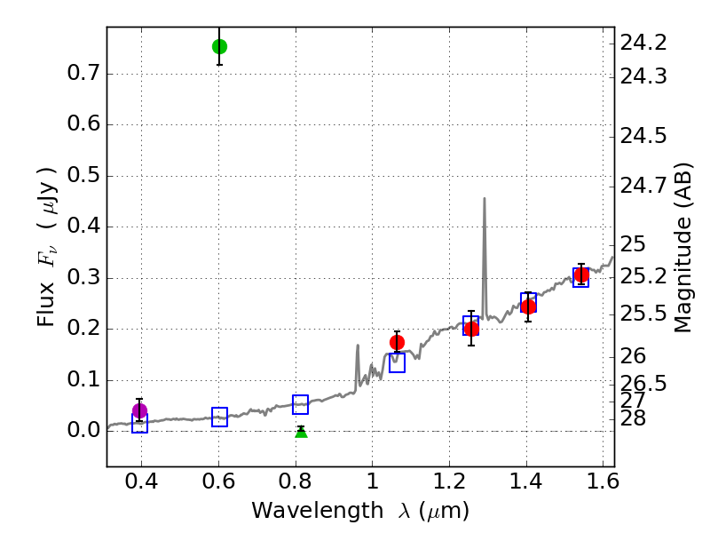
Catalog: 6309.cat
Black segments are analyzed here.   Roll mouse over color images to view segments.
Best viewed in a wide browser window (1200 pixels or more).   Download SED & P(z) plots to view larger versions.
In P(z) plots: Yellow lines mark the cluster redshift z = 0.228,  

Object #6309   x,y = (2100, 1465)   RA, Dec = (06:03:28.584, 42:08:54.24) = (90.86910, 42.14840)   BPZ = 1.581 [1.269--7.096]   type = 6.50 (Scd_B10 - Sbc_B10)   stellarity = 0.64   chisq2 = 74.36   ODDS = 0.42   z_cluster = 0.228