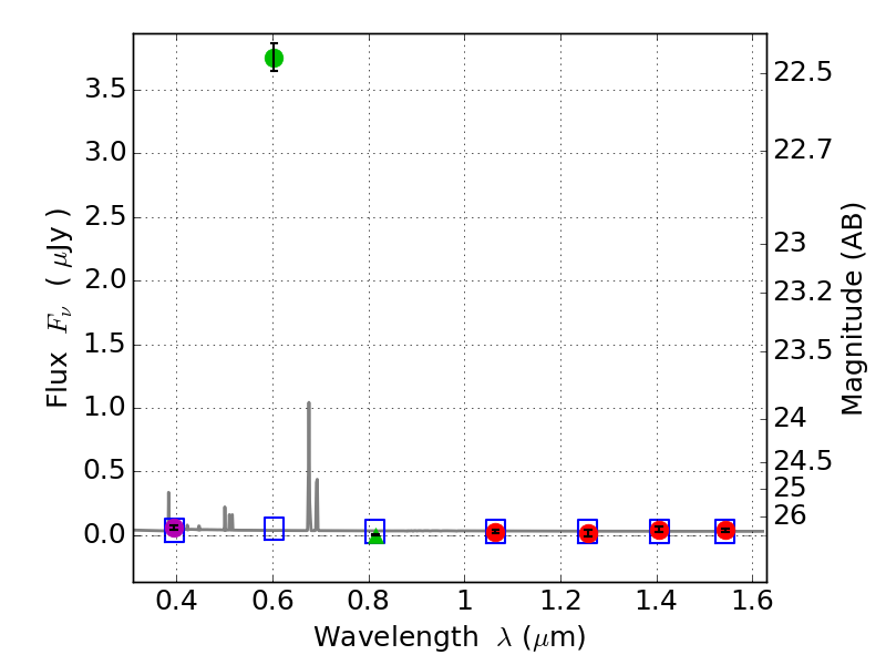
RXS0603+42-S IR detection object #6307

Color images and BPZ results
Catalog: 6307.cat
Black segments are analyzed here.   Roll mouse over color images to view segments.
Best viewed in a wide browser window (1200 pixels or more).   Download SED & P(z) plots to view larger versions.
In P(z) plots: Yellow lines mark the cluster redshift z = 0.228,  

Object #6307   x,y = (2098, 1456)   RA, Dec = (06:03:28.584, 42:08:53.52) = (90.86910, 42.14820)   BPZ = 0.026 [0.022--2.393]   type = 11.00 (SB11_A_0_l)   stellarity = 0.67   chisq2 = 284.20   ODDS = 0.08   z_cluster = 0.228