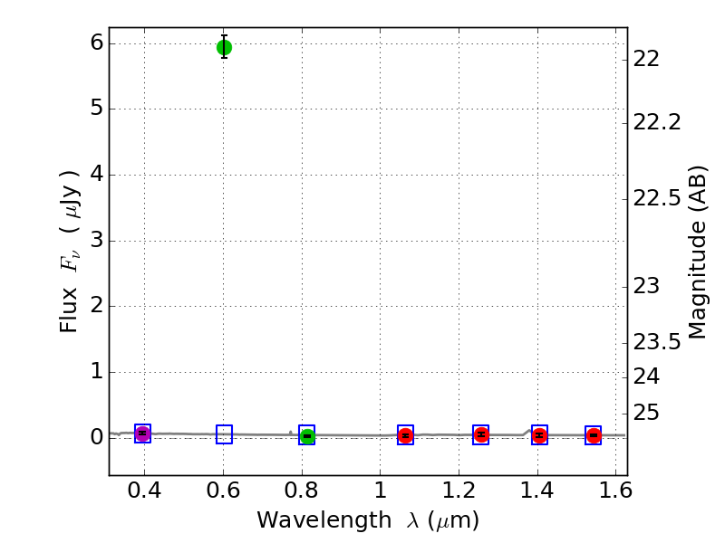
RXS0603+42-S IR detection object #6299

Color images and BPZ results
Catalog: 6299.cat
Black segments are analyzed here.   Roll mouse over color images to view segments.
Best viewed in a wide browser window (1200 pixels or more).   Download SED & P(z) plots to view larger versions.
In P(z) plots: Yellow lines mark the cluster redshift z = 0.228,  

Object #6299   x,y = (2031, 1458)   RA, Dec = (06:03:28.944, 42:08:53.88) = (90.87060, 42.14830)   BPZ = 1.762 [0.041--2.895]   type = 11.00 (SB11_A_0_l)   stellarity = 0.98   chisq2 = 283.10   ODDS = 0.21   z_cluster = 0.228