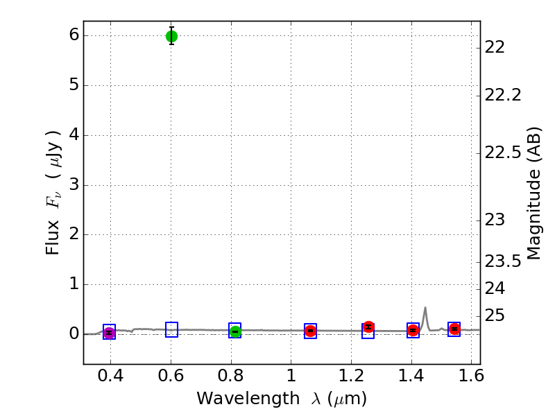
RXS0603+42-S IR detection object #6298

Color images and BPZ results
Catalog: 6298.cat
Black segments are analyzed here.   Roll mouse over color images to view segments.
Best viewed in a wide browser window (1200 pixels or more).   Download SED & P(z) plots to view larger versions.
In P(z) plots: Yellow lines mark the cluster redshift z = 0.228,  

Object #6298   x,y = (2040, 1464)   RA, Dec = (06:03:28.896, 42:08:54.24) = (90.87040, 42.14840)   BPZ = 2.877 [0.308--3.249]   type = 10.30 (SB3_B10 - SB11_A_0_l)   stellarity = 0.95   chisq2 = 282.00   ODDS = 0.18   z_cluster = 0.228