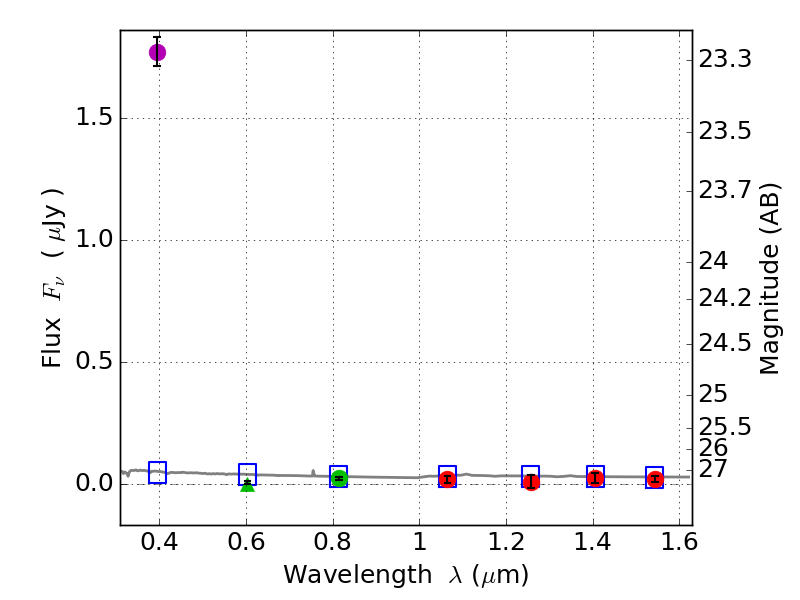
RXS0603+42-S IR detection object #6291

Color images and BPZ results
Catalog: 6291.cat
Black segments are analyzed here.   Roll mouse over color images to view segments.
Best viewed in a wide browser window (1200 pixels or more).   Download SED & P(z) plots to view larger versions.
In P(z) plots: Yellow lines mark the cluster redshift z = 0.228,  

Object #6291   x,y = (3607, 1451)   RA, Dec = (06:03:20.448, 42:08:53.52) = (90.83520, 42.14820)   BPZ = 1.700 [0.929--2.205]   type = 11.00 (SB11_A_0_l)   stellarity = 0.97   chisq2 = 210.00   ODDS = 0.40   z_cluster = 0.228