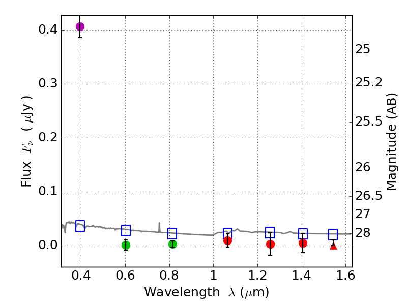
RXS0603+42-S IR detection object #6273

Color images and BPZ results
Catalog: 6273.cat
Black segments are analyzed here.   Roll mouse over color images to view segments.
Best viewed in a wide browser window (1200 pixels or more).   Download SED & P(z) plots to view larger versions.
In P(z) plots: Yellow lines mark the cluster redshift z = 0.228,  

Object #6273   x,y = (3520, 1472)   RA, Dec = (06:03:20.928, 42:08:54.60) = (90.83720, 42.14850)   BPZ = 1.701 [1.324--2.111]   type = 11.00 (SB11_A_0_l)   stellarity = 0.77   chisq2 = 82.54   ODDS = 0.57   z_cluster = 0.228