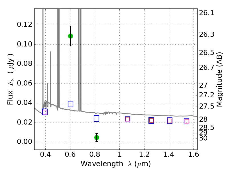
RXS0603+42-S IR detection object #6256

Color images and BPZ results
Catalog: 6256.cat
Black segments are analyzed here.   Roll mouse over color images to view segments.
Best viewed in a wide browser window (1200 pixels or more).   Download SED & P(z) plots to view larger versions.
In P(z) plots: Yellow lines mark the cluster redshift z = 0.228,  

Object #6256   x,y = (3720, 1477)   RA, Dec = (06:03:19.824, 42:08:54.96) = (90.83260, 42.14860)   BPZ = 0.024 [0.013--2.993]   type = 11.00 (SB11_A_0_l)   stellarity = 0.77   chisq2 = 60.31   ODDS = 0.29   z_cluster = 0.228