RXS0603+42-S IR detection object #6249

Color images and BPZ results
Catalog: 6249.cat
Black segments are analyzed here.   Roll mouse over color images to view segments.
Best viewed in a wide browser window (1200 pixels or more).   Download SED & P(z) plots to view larger versions.
In P(z) plots: Yellow lines mark the cluster redshift z = 0.228,  

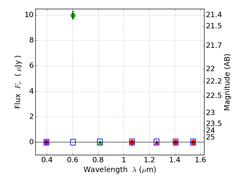
Object #6249   x,y = (1984, 1477)   RA, Dec = (06:03:29.208, 42:08:54.96) = (90.87170, 42.14860)   BPZ = 0.461 [0.080--1.338]   type = 7.00 (Scd_B10)   stellarity = 0.97   chisq2 = 287.10   ODDS = 0.16   z_cluster = 0.228