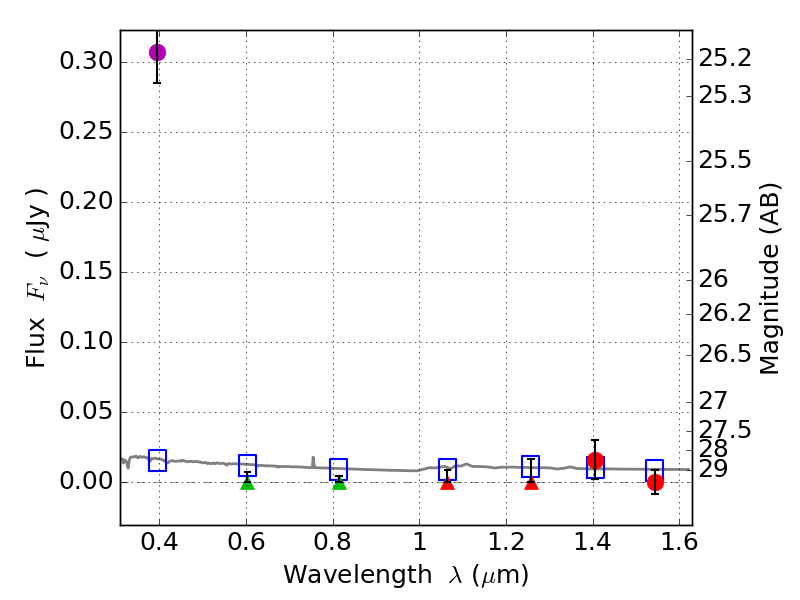
RXS0603+42-S IR detection object #6241

Color images and BPZ results
Catalog: 6241.cat
Black segments are analyzed here.   Roll mouse over color images to view segments.
Best viewed in a wide browser window (1200 pixels or more).   Download SED & P(z) plots to view larger versions.
In P(z) plots: Yellow lines mark the cluster redshift z = 0.228,  

Object #6241   x,y = (3586, 1486)   RA, Dec = (06:03:20.568, 42:08:55.32) = (90.83570, 42.14870)   BPZ = 1.696 [0.426--4.262]   type = 11.00 (SB11_A_0_l)   stellarity = 0.74   chisq2 = 45.57   ODDS = 0.20   z_cluster = 0.228