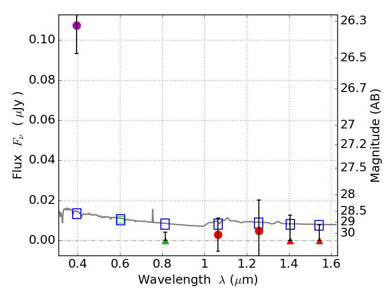
RXS0603+42-S IR detection object #6238

Color images and BPZ results
Catalog: 6238.cat
Black segments are analyzed here.   Roll mouse over color images to view segments.
Best viewed in a wide browser window (1200 pixels or more).   Download SED & P(z) plots to view larger versions.
In P(z) plots: Yellow lines mark the cluster redshift z = 0.228,  

Object #6238   x,y = (1806, 1488)   RA, Dec = (06:03:30.168, 42:08:55.68) = (90.87570, 42.14880)   BPZ = 1.700 [0.368--6.908]   type = 11.00 (SB11_A_0_l)   stellarity = 0.42   chisq2 = 16.56   ODDS = 0.14   z_cluster = 0.228