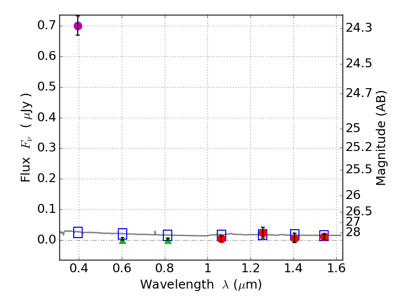
RXS0603+42-S IR detection object #6237

Color images and BPZ results
Catalog: 6237.cat
Black segments are analyzed here.   Roll mouse over color images to view segments.
Best viewed in a wide browser window (1200 pixels or more).   Download SED & P(z) plots to view larger versions.
In P(z) plots: Yellow lines mark the cluster redshift z = 0.228,  

Object #6237   x,y = (3593, 1488)   RA, Dec = (06:03:20.520, 42:08:55.68) = (90.83550, 42.14880)   BPZ = 1.697 [0.975--2.334]   type = 11.00 (SB11_A_0_l)   stellarity = 0.95   chisq2 = 119.10   ODDS = 0.35   z_cluster = 0.228