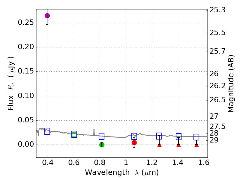
RXS0603+42-S IR detection object #6234

Color images and BPZ results
Catalog: 6234.cat
Black segments are analyzed here.   Roll mouse over color images to view segments.
Best viewed in a wide browser window (1200 pixels or more).   Download SED & P(z) plots to view larger versions.
In P(z) plots: Yellow lines mark the cluster redshift z = 0.228,  

Object #6234   x,y = (1788, 1488)   RA, Dec = (06:03:30.264, 42:08:55.68) = (90.87610, 42.14880)   BPZ = 1.701 [1.141--2.332]   type = 11.00 (SB11_A_0_l)   stellarity = 0.65   chisq2 = 59.07   ODDS = 0.44   z_cluster = 0.228