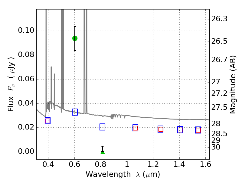
RXS0603+42-S IR detection object #6231

Color images and BPZ results
Catalog: 6231.cat
Black segments are analyzed here.   Roll mouse over color images to view segments.
Best viewed in a wide browser window (1200 pixels or more).   Download SED & P(z) plots to view larger versions.
In P(z) plots: Yellow lines mark the cluster redshift z = 0.228,  

Object #6231   x,y = (3720, 1490)   RA, Dec = (06:03:19.824, 42:08:55.68) = (90.83260, 42.14880)   BPZ = 0.026 [0.018--3.088]   type = 11.00 (SB11_A_0_l)   stellarity = 0.69   chisq2 = 52.06   ODDS = 0.14   z_cluster = 0.228