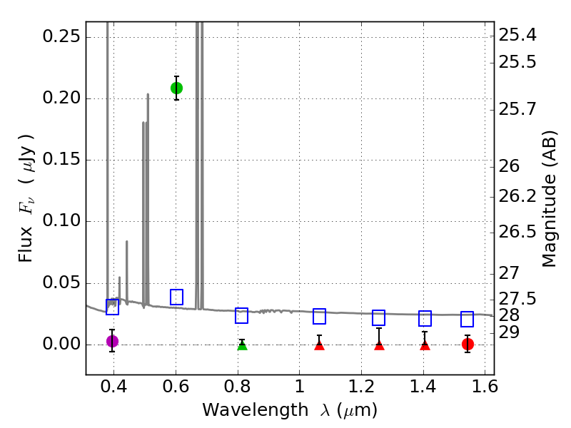
RXS0603+42-S IR detection object #6224

Color images and BPZ results
Catalog: 6224.cat
Black segments are analyzed here.   Roll mouse over color images to view segments.
Best viewed in a wide browser window (1200 pixels or more).   Download SED & P(z) plots to view larger versions.
In P(z) plots: Yellow lines mark the cluster redshift z = 0.228,  

Object #6224   x,y = (2666, 1495)   RA, Dec = (06:03:25.512, 42:08:56.04) = (90.85630, 42.14890)   BPZ = 0.020 [0.010--0.048]   type = 11.00 (SB11_A_0_l)   stellarity = 0.75   chisq2 = 89.10   ODDS = 1.00   z_cluster = 0.228