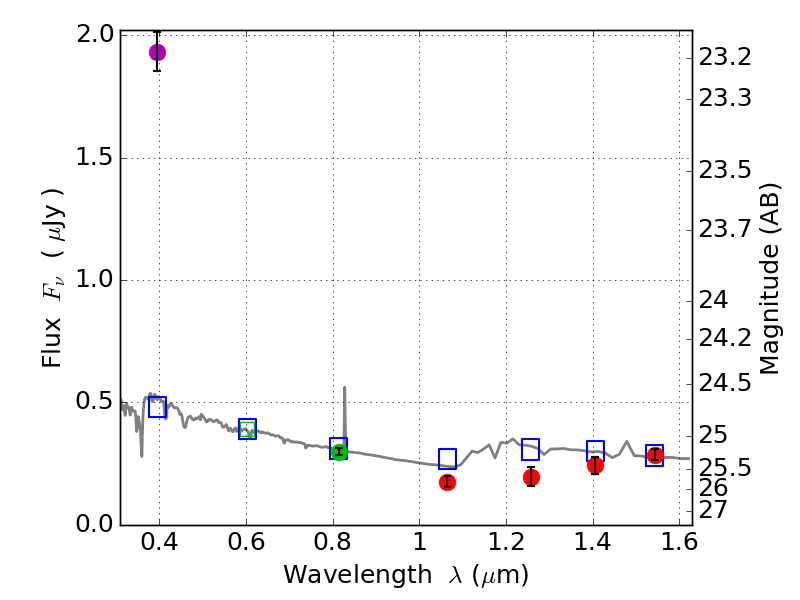
RXS0603+42-S IR detection object #6200

Color images and BPZ results
Catalog: 6200.cat
Black segments are analyzed here.   Roll mouse over color images to view segments.
Best viewed in a wide browser window (1200 pixels or more).   Download SED & P(z) plots to view larger versions.
In P(z) plots: Yellow lines mark the cluster redshift z = 0.228,  

Object #6200   x,y = (1751, 1475)   RA, Dec = (06:03:30.456, 42:08:54.96) = (90.87690, 42.14860)   BPZ = 1.960 [1.819--2.175]   type = 11.00 (SB11_A_0_l)   stellarity = 0.98   chisq2 = 95.78   ODDS = 0.81   z_cluster = 0.228