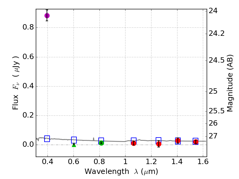
RXS0603+42-S IR detection object #6189

Color images and BPZ results
Catalog: 6189.cat
Black segments are analyzed here.   Roll mouse over color images to view segments.
Best viewed in a wide browser window (1200 pixels or more).   Download SED & P(z) plots to view larger versions.
In P(z) plots: Yellow lines mark the cluster redshift z = 0.228,  

Object #6189   x,y = (3591, 1504)   RA, Dec = (06:03:20.520, 42:08:56.40) = (90.83550, 42.14900)   BPZ = 1.698 [1.089--2.222]   type = 11.00 (SB11_A_0_l)   stellarity = 0.76   chisq2 = 124.20   ODDS = 0.39   z_cluster = 0.228