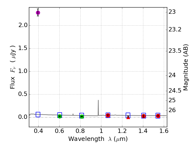
RXS0603+42-S IR detection object #6188

Color images and BPZ results
Catalog: 6188.cat
Black segments are analyzed here.   Roll mouse over color images to view segments.
Best viewed in a wide browser window (1200 pixels or more).   Download SED & P(z) plots to view larger versions.
In P(z) plots: Yellow lines mark the cluster redshift z = 0.228,  

Object #6188   x,y = (3590, 1509)   RA, Dec = (06:03:20.544, 42:08:56.76) = (90.83560, 42.14910)   BPZ = 1.612 [1.165--2.173]   type = 11.00 (SB11_A_0_l)   stellarity = 0.92   chisq2 = 215.00   ODDS = 0.38   z_cluster = 0.228