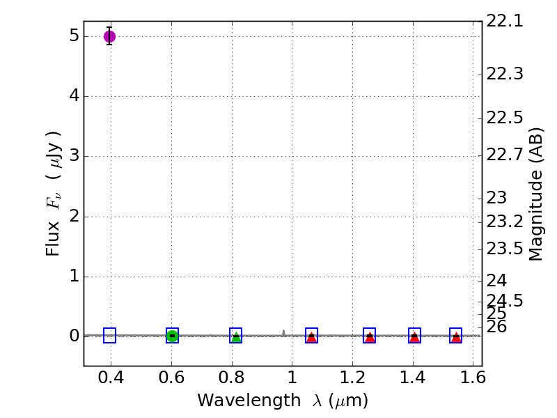
RXS0603+42-S IR detection object #6170

Color images and BPZ results
Catalog: 6170.cat
Black segments are analyzed here.   Roll mouse over color images to view segments.
Best viewed in a wide browser window (1200 pixels or more).   Download SED & P(z) plots to view larger versions.
In P(z) plots: Yellow lines mark the cluster redshift z = 0.228,  

Object #6170   x,y = (3604, 1514)   RA, Dec = (06:03:20.472, 42:08:57.12) = (90.83530, 42.14920)   BPZ = 1.609 [0.295--7.293]   type = 11.00 (SB11_A_0_l)   stellarity = 1.00   chisq2 = 282.80   ODDS = 0.08   z_cluster = 0.228