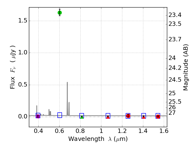
RXS0603+42-S IR detection object #6167

Color images and BPZ results
Catalog: 6167.cat
Black segments are analyzed here.   Roll mouse over color images to view segments.
Best viewed in a wide browser window (1200 pixels or more).   Download SED & P(z) plots to view larger versions.
In P(z) plots: Yellow lines mark the cluster redshift z = 0.228,  

Object #6167   x,y = (1918, 1516)   RA, Dec = (06:03:29.544, 42:08:57.12) = (90.87310, 42.14920)   BPZ = 0.034 [0.020--3.157]   type = 11.00 (SB11_A_0_l)   stellarity = 0.85   chisq2 = 240.80   ODDS = 0.16   z_cluster = 0.228