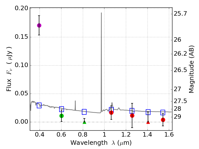
RXS0603+42-S IR detection object #6160

Color images and BPZ results
Catalog: 6160.cat
Black segments are analyzed here.   Roll mouse over color images to view segments.
Best viewed in a wide browser window (1200 pixels or more).   Download SED & P(z) plots to view larger versions.
In P(z) plots: Yellow lines mark the cluster redshift z = 0.228,  

Object #6160   x,y = (2938, 1521)   RA, Dec = (06:03:24.048, 42:08:57.48) = (90.85020, 42.14930)   BPZ = 1.612 [0.926--2.340]   type = 11.00 (SB11_A_0_l)   stellarity = 0.37   chisq2 = 19.39   ODDS = 0.32   z_cluster = 0.228