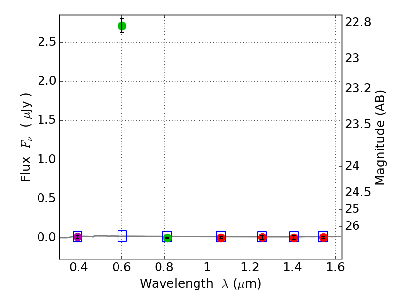
RXS0603+42-S IR detection object #6158

Color images and BPZ results
Catalog: 6158.cat
Black segments are analyzed here.   Roll mouse over color images to view segments.
Best viewed in a wide browser window (1200 pixels or more).   Download SED & P(z) plots to view larger versions.
In P(z) plots: Yellow lines mark the cluster redshift z = 0.228,  

Object #6158   x,y = (1927, 1521)   RA, Dec = (06:03:29.496, 42:08:57.48) = (90.87290, 42.14930)   BPZ = 2.852 [0.254--5.313]   type = 11.00 (SB11_A_0_l)   stellarity = 0.66   chisq2 = 269.70   ODDS = 0.14   z_cluster = 0.228